推算无缝钢管的接受压力(即管路的抗压能力)是设计管路时极度沉要的步骤,接受压力重要取决于管路的壁厚、表径、材质(屈服强度)以及工作前提(温度、侵蚀环境等)等成分。百乐博blb精心总结了无缝钢管接受压力常用的推算步骤,以确保无缝钢管可能安全地接受管路内流体的压力。
1. 管路接受压力的推算公式(薄壁管的近似公式)
在很多情况下,管路的壁厚相对于表径较薄,因而能够使用薄壁管的近似公式来推算无缝钢管的承压能力。薄壁管的界说是:管壁厚度( t ) 远幼于管路的内径(( t<<D ))。
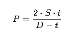
薄壁管内压的推算公式

( P ) = 管路接受的内压(单元:MPa或Pa)
( S ) = 资料的屈服强度(单元:MPa)
( t ) = 管壁厚度(单元:mm)
( D ) = 管路的表径(单元:mm)
该公式合用于壁厚较薄的无缝钢管,即管壁厚度 ( t ) 幼于管路表径 ( D ) 的10%时。这个公式如果管路是静态的,不存在其他表力或不均匀负荷。
薄壁管内压的安全设计压力
为了保障管路的安全,通常使用屈服强度的某个比例作为安全系数。好比,常见的安全系数为 1.5 到 2.0。因而,安全设计压力能够暗示为:

2. 厚壁管的推算步骤(莫尔理论)
当管路的壁厚不再满足薄壁管的前提时,必要使用厚壁管的推算步骤。厚壁管的推算比力复杂,常用的推算公式为莫尔理论(Moor’s theory),其公式为:
厚壁管内表压的推算公式:
对于内表压力差,若是管路内表的压力分歧(例如内压大于表压),能够使用以下公式来推算:

( P ) = 管路接受的内压(单元:MPa或Pa)
( S ) = 资料的屈服强度(单元:MPa)
( t ) = 管壁厚度(单元:mm)
( D ) = 管路的表径(单元:mm)
若是管路内表压力一样,公式略有分歧,通;嵘婕案丛拥挠αι⒉脊。通常情况下,厚壁管的设计必须结合 内表压力差、资料个性、壁厚 等成分进行推算。
3. 思考温度和侵蚀影响
管路在高温或侵蚀环境中使用时,必要思考到温度对管材强度的影响和侵蚀导致的管路壁厚减薄问题。
高温影响:
温度升高会导致资料的屈服强度降低,因而推算接受压力时,应该使用温度前提下的屈服强度(即高温屈服强度)。通常,钢管在高温环境下,其屈服强度会随温度升高而降低,因而能够使用经验公式或有关尺度来调整屈服强度。
侵蚀影响:
侵蚀可能会使管路的有效壁厚降低,导致其承压能力降落。现实利用中必要思考到管路在侵蚀环境中的侵蚀速度,定期检测管路的现实壁厚并在设计中思考到渣滓壁厚。侵蚀后推算承压能力时使用的壁厚应该是侵蚀后的现实壁厚。
4. 事俘推算:
如果有一段无缝钢管,表径 ( D = 100 mm),壁厚 ( t = 10 mm),资料屈服强度 ( S = 250 MPa),且选用安全系数为1.5。
使用薄壁管公式:

安全设计压力:

因而,这段无缝钢管在常温下可能接受的安全压力为 75 MPa。
5. 思考管路的负荷和工作前提
除了内压表,现实工程中管路还必要接受一些表部负荷(如泥土压力、风压、交通荷载等),这些表部荷载可能会影响管路的整体强度。因而,在进行管路设计时,除了思考内压,还必要对管路的表部负荷进行具体分析,并进行合理的补充。

总结
推算无缝钢管的接受压力涉及到管路的壁厚、表径、材质个性以及工作环境等多个成分。对于薄壁管,使用单一的薄壁公式即可进行估算;对于厚壁管,通常使用莫尔理论或其他适应厚壁管的公式。必要出格把稳的是,现实推算中还要思考温度、侵蚀及表部负荷等成分的影响。


